Recently, the research team of intrinsically fine-grained steel in the State Key Laboratory of Rolling and Automation (RAL) in Northeastern University has made new breakthroughs in the industrial production and application of hot rolled seamless steel pipe and high heat input welding steel plate.
Under the guidance of Academician Wang Guodong, young teacher Dr. Wang Chao has carried out a lot of basic research and industrial technology research, and a research team was formed to continuously promote the engineering implementation of research results. Intrinsically fine-grained steel technology is mainly aimed at the problem that the microstructures are difficult to be uniformly refined under high temperature deformation or welding conditions for products including hot-rolled thick gauge steel plate, high heat input welding steel, hot-rolled steel pipe and long section steel. It breaks through the traditional microstructure control and toughening mechanism as well as the limitations of process conditions. Integrated process control of composition, smelting, rolling and cooling is carried out and precipitation particles with high thermal stability are introduced into the steel. Fine-graind microstructure transformation is tailored through micro / nano secondary phase particles so as to improve the comprehensive service performance of materials. This techonoly contributes to the green and efficient manufacturing of advanced high-performance steel products.
(1) Research progress of hot-rolled seamless steel tube
Hot-rolled seamless steel tube is an irreplaceable basic material in oil and gas drilling and production, energy and chemical industry, equipment manufacturing and other fields. The forming process of steel tube goes through the process of billet piercing, pipe rolling and sizing, which has high deformation resistance and needs to be completed at high temperature. Generally, the heating temperature of tube billet is 1250 ~ 1300 ℃, and the finishing rolling temperature of steel tube is 950 ~ 1100 ℃, which are much higher than that of plate and strip heating at 1150 ~ 1200 ℃ and finishing rolling at 800 ~ 850 ℃. This leads to the difficulty in application of low temperature controlled rolling grain refining technology such that on-line normalization or subsequent off-line heat treatment are always adopted to improve the tube microstructure and properties. It brings many adverse effects on the development of high-quality pipe, production cost, manufacturing efficiency and energy consumption.

Schematic diagram of hot-rolled seamless steel pipe forming process and conventional controlled rolling and cooling technology
The research team, in cooperation with Baosteel, carried out industrial R & D work of fine-grained hot-rolled seamless steel tube. Combined with the actual production, the basic composition system of representative 16Mn was selected, and meanwhile, the production process was improved according to the intrinsically fine-grained steel technology. High toughness Q355 structural pipe and N80-Q casing products were developed, which realized the multi-grade and reduced production of typical seamless steel pipe products.
The room temperature tensile properties and 3/4 size impact toughness of steel pipe under various processes are shown in the figure below. In terms of strength, the conventional steel and the improved process steel are at the same level in each cooling process; in terms of impact energy, the improved process steel is better than the conventional steel under different cooling process conditions, especially for the low temperature impact in the controlled cooling state and the impact energy in the on-line quenching state. The introduction of dispersed high-temperature precipitates significantly refines the F/P structure in the controlled cooling state and the B/M structure in the quenched state. The comprehensive mechanical properties of the hot-rolled steel pipe base material were improved. It provides a new technical means for the development and production of high-quality pipes.

Strength and impact toughness of two kinds of steel tubes
under controlled cooling

Strength and impact toughness of two kinds of steel pipes
under quenching condition
(2) Research progress of high heat input welding steel plate
In the construction of large steel structures in shipbuilding, construction and other industries, the use of highheat input welding process can significantly improve the construction efficiency and save the manufacturing cost. The HAZ toughness of conventional steel is seriously deteriorated under the condition of high heat input welding, so that it cannot meet the use requirements. Therefore, the steel with high heat input welding resistance must be used. In order to solve this problem, steel industry of Japan has put forward oxide metallurgy technology, and China has also carried out a lot of related research. Up to now, based on the research and production status at home and abroad, oxide metallurgy technology has made remarkable progress, but there are still some defects and problems that have not been overcome.
The steelmaking process window of oxide metallurgy technology is narrow, which has strict restrictions on the alloy addition method and oxygen level control during each procedure as well as the total oxygen content and oxide distribution in the finished steel. This increases the difficulty of field implementation and technical requirements for operators. The steel plate used for high heat input welding generally needs refining treatment for desulfurization and degassing, but oxide metallurgy needs oxygen retention operation, which is not conducive to deep desulfurization of molten steel in a short time. In this way, it puts forward higher requirements for steel-making raw materials. At the same time, it often needs to add some valuable special alloy additives, which makes the process of oxygen control, desulfurization and alloying more complex and restricts the production. Therefore, it has adverse effects on the cost, power consumption, production capacity and on-site scheduling. In addition, the high heat input welding performance of oxide metallurgy steel depends on the distribution of inclusions in the steel, and the performance fluctuation between different heats and in the same slab cannot be ignored.
On the basis of the research and development of oxide metallurgy technology in the early stage, the research team extracted the microstructure control mechanism of heat affected zone of high heat input welding, followed the control idea of pinning refinement of high-temperature austenite grain and transformation nucleation of intragranular ferrite, developed a new composition technology system, and successfully realized industrial production in Anshan Iron and steel Group cooperation. The new technology does not rely on the process route of oxide metallurgy so that the above problems are not encountered. It realizes the development and production of high heat input welding steel plate without changing the smelting process,production, alloy and smelting cost.
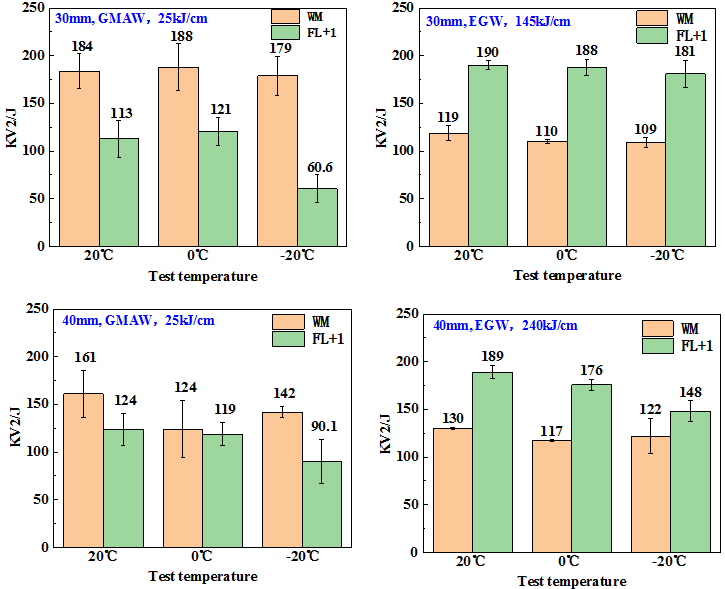
Q355B plate is selected for industrial production, the basic composition system is 0.17% C-Si-Mn-Nb, the smelting process is based on converter process, and LF refining time is less than or equal to 30min. High efficiency rolling process is adopted for steel plate. High temperature finishing rolling is carried out above 1000 ℃. The efficiency is improved. The rolling thickness is 30mm and 40mm. Two welding methods, gas shielded welding and gas electric vertical welding, are used in the welding evaluation experiment. The welding process and parameters are as follows.
Welding experiment parameters


Welding experiment and sample processing
The impact test results of different positions of welded joints under different welding conditions are shown in the following figures. Obviously, the impact toughness under all conditions can meet the requirements. At the same time, it is found that for weld metal (WM), the impact energy of gas shielded welding is higher than that of gas electric vertical welding, and the impact toughness decreases with the increase of heat input; for the heat affected zone of FL + 1mm, compared with gas shielded welding, the impact toughness of gas electric vertical welding with high heat input does not decrease, but increases significantly.

The low temperature impact test was carried out on each welding joint position of 40 mm thick steel plate by gas electric vertical welding. The whole welding joint still has a high toughness level at - 40 ℃, but when the temperature drops to - 60 ℃, the position near the fusion line is completely brittle and cannot be used. However, considering the composition of Q355B base material with 0.17% C content, the high heat input welded joint has reached the level of E grade toughness, which fully reflects the space for further improvement of its properties and good application prospects in high-grade steel. Due to the limitation of plate thickness, the welding line energy cannot be further improved. The experiment of higher heat input is completed by thermal simulation machine. The 400 kJ/cm welding thermal simulation experiment still shows good low temperature toughness. At present, the research of even higher heat input thermal simulation experiment is being carried out.

At present,19 patents have been applied for,11 have been authorized and 17 papers have been published,which lays a good foundation for the popularization and application of technology in various product fields.

