硼矿是一种稀缺的矿产资源,以硼矿为原料生产的硼及硼化合物广泛用于化工、冶金、光学玻璃、医药、轻工、国防军工、航天航空及核工业等领域。我国硼矿资源丰富,硼工业的主要原料为硼镁石,该类资源仅占硼资源总储量的8.98%,且经过多年的开发利用,硼镁石储量(B2O3)现已不足200万t,硼镁石资源已近枯竭。随着我国国民经济的发展,硼矿资源的需求量在持续增长,致使硼镁石矿的产量已远不能满足硼工业的需要。因此,高效开发利用其他硼矿资源已经成为我国硼工业发展的当务之急。
硼铁矿是重要的铁矿资源,但由于硼铁矿矿物组成复杂,共生关系密切,矿物嵌布粒度细而不均等原因,致使常规选别方法难以获得较好的技术经济指标,至今尚未获得很好的工业化开发利用。因此,加强硼铁矿资源的综合利用研究,对于缓解我国硼矿资源和铁矿资源紧张状况,具有重要的战略意义。
硼铁矿是一种含有铁、硼、镁、硅等多元素共生矿,有用矿物为硼镁石、磁铁矿及硼镁铁矿,脉石矿物主要为蛇纹石。但该矿石中TFe和B2O3的平均品位较低,分别为30.65%和7.23%,难以作为单种矿石直接利用。采用常规选别方法难以实现硼铁分离,造成硼资源的巨大浪费。由此可见,含硼铁精矿的硼铁分离已成为硼铁矿资源开发利用的关键技术难题。选择性还原过程的动力学研究,是进行选择性还原工艺基础研究的重要组成部分,目前国内还没有个人或单位对其进行过系统研究。
含硼铁精矿结构复杂,共生关系密切,铁品位低难以分选,研究证明,采用常规选矿方法处理含硼铁精矿不能获得理想的选别指标,采用还原技术处理含硼铁精矿,可以使铁矿物还原为金属铁,将硼保留于渣相,经过磁选后,使二者得以高效分离与富集。本文含硼铁精矿作为研究对象,加以内配碳,研究了含硼铁精矿内配碳选择性还原过程的动力学,为含硼铁精矿的工艺优化和开发利用奠定理论基础,并实现了对选择性还原矿物进行有效地分离及含硼铁精矿的综合利用。
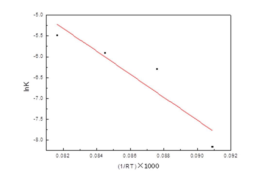
本次试验利用热重分析技术,采用等温法,研究了含硼铁精矿内配碳选择性还原过程的动力学和动力学参数。等温法试验确定了配碳系数分别是0.8和1.0时含硼铁精矿内配碳选择性还原过程的活化能E分别是276.44KJ/mol和167.09KJ/mol ,指前因子A分别为5.22×103 min-1。
研究发现,还原温度对含硼铁精矿的还原有着重要影响,升高温度促进铁氧化物的还原,在一定范围内提高还原温度有利于硼、铁的分离;还原时间对含硼铁精矿的还原度有所影响,适当延长还原时间可以增加含硼铁精矿的还原度,但是时间过长会严重影响生产效率;在一定范围内增大配碳系数,可以保证炉管内的还原气氛,增大还原剂与含硼铁精矿的接触面积,对含硼铁精矿的选择性还原过程有利。

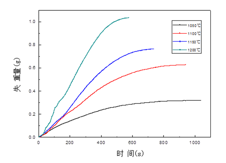
▲图1硼铁精矿等温选择性还原过程的失重曲线

▲图2 硼铁精矿动力学lnK-(1/RT)×1000线性拟合图

