高磷鲕状赤铁矿具有矿石结构复杂、矿物结晶粒度微细和有害元素磷含量高等特点,采用传统选矿工艺处理该矿石,存在着精矿铁品位低和磷含量偏高的问题。东北大学提出的“深度还原-磁选”技术是回收高磷鲕状赤铁矿中铁元素的有效方法。然而,伴随着铁氧化物还原为金属铁,矿石中部分磷元素向金属相迁移,致使金属相中磷含量偏高。若阻止磷向金属相迁移,需添加大量的脱磷剂,导致成本升高及环境污染问题。
铁矿资源绿色开发利用方向李国峰博士围绕高磷鲕状赤铁矿深度还原过程中磷元素迁移控制以及高磷金属相产物脱磷开展了系统的研究,取得了如下创新和技术进展:
基于矿石的工艺矿物学特性,开展了高磷鲕状赤铁矿深度还原过程中磷矿物还原和磷向金属相迁移富集的热力学研究,揭示了SiO2和Al2O3等杂质成分对磷矿物还原和磷向金属相迁移富集的影响。
深入研究了高磷鲕状赤铁矿深度还原过程中磷矿物还原和磷向金属相迁移富集的规律,建立了磷矿物还原和磷元素迁移富集的动力学模型,获得了活化能、指前因子等动力学参数,确定了反应的限制性环节。
系统地研究了磷含量、杂质氧化物含量高的高磷金属相产物在碳不饱和状态下的脱磷机制,丰富了金属相产物脱磷的热力学及动力学理论体系;在得到不同钢种母液的同时获得了P2O5含量14.41%富磷渣。
分析了富磷渣的物相组成以及磷在富磷渣中的分布规律;明确了初始渣系组成及粒度对富磷渣枸溶性的影响。富磷渣磨细至d90=23.8~20.7 μm时,其枸溶率可达93.81%~94.54%,可作为钢渣磷肥。
上述研究成果首次证明了通过高磷鲕状赤铁矿深度还原过程中磷元素迁移控制,经脱磷工艺,实现矿石中铁、磷资源的综合利用是可行的,为高磷鲕状赤铁矿的资源综合利用提供了新的技术途径,也为其它复杂难选铁矿的开发利用提供了良好借鉴。相关成果发表学术论文8篇,申报国家发明专利1项。

▲图1磷含量随时间的变化拟合曲线(碱度3.0~4.5)

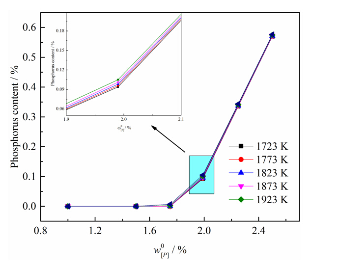
▲图2初始磷含量对金属相脱磷的影响

