铁矿石是钢铁工业的保障性资源,属国家重大战略需求。由于我国铁矿石禀赋差、利用率低,导致其对外依存度高达80%以上,这已成为我国经济安全运行的重大隐患。我国复杂难选铁矿石储量达200亿吨以上,采用常规选矿技术无法利用,剥离后只能抛废或堆存,造成严重资源浪费和环境污染。因而,加强国内复杂难选铁矿石高效开发利用研究,提高铁矿石自给率,具有重要的战略意义。
磁化焙烧-磁选是处理复杂难选铁矿最为有效的技术,研制出生产效率高、运行稳定、能耗低的磁化焙烧装备成为矿业科学界和产业界的共同理想。铁矿资源绿色开发利用提出了复杂难选铁矿石“预氧化-蓄热还原-再氧化”新理念及新装备,创新性设计理念为高温矿石经旋风分离器分离后进入体积较小的还原腔,还原腔底部通入CO和N2,使矿石中Fe2O3在流经还原腔过程中利用自身储蓄热量转化为Fe3O4,最后进入冷却炉腔,通过控制温度和气氛使Fe3O4部分氧化为强磁性γ-Fe2O3,该过程释放出大量潜热,回收后可实现热量的高效循环利用。还原腔是整个系统的核心装置,本项目创造性的设计了兼具还原和密封双功能的还原腔结构,一方面铁矿物在其内部完成还原,另一方面可实现气体自锁密封,以防止还原气体反窜进入热料旋风分离器,以免造成压力失衡系统堵塞。铁矿石在其内部的蓄热还原过程是气固两相流动、化学反应、传质传热等复杂物理化学反应的强烈耦合。
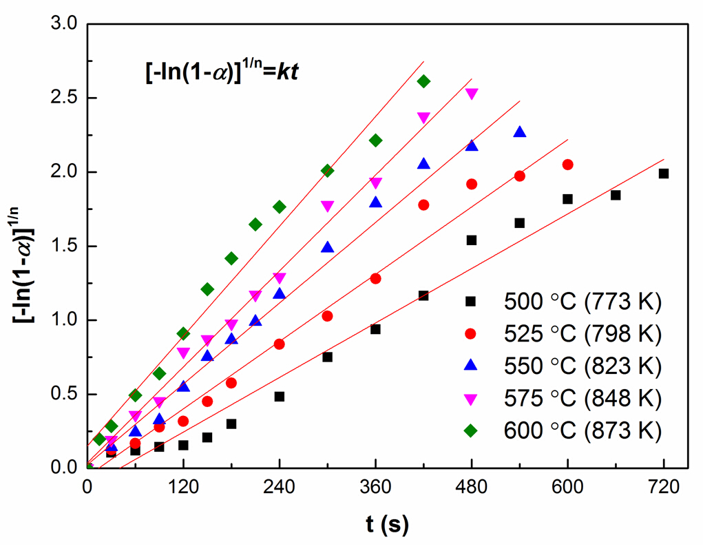
本年度重点开展了还原腔内铁矿石颗粒和气体的流动特性、反应机理及多因素耦合调控机制研究。首先组建了微型悬浮焙烧系统,结合化学分析法研究了赤铁矿纯矿物的悬浮态还原磁化等温动力学,对机理函数和动力学参数进行了求解,建立了赤铁矿悬浮焙烧反应动力学模型;采用透明的有机玻璃制成还原腔物理模型,自行设计了压力采集与处理系统,建成了还原腔冷态试验系统,分别采用计算法和降速法求得临界流化风速,初步探明了还原腔内气固体流动特性。上述研究成果对解决还原腔工业放大、过程控制的基础性科学问题具有重要的理论意义。相关成果已申报和国家发明专利2项,发表论文2篇,获批国家自然科学基金面上项目1项。


▲微型悬浮焙烧系统及磁化焙烧机理函数拟合直线

